
Journal of Environmental Treatment Techniques 2015, Volume 3, Issue 4, Pages: 201-203
201
Effect of Residual Antibiotics in Snacks against Escherichia coli
and Staphylococcus aureus
Lovet T. Kigigha, Sylvester Chibueze Izah* and Phillip E. Prebo
Department of Biological Sciences, Faculty of Science, Niger Delta University, Wilberforce Island, Bayelsa state, Nigeria
Received: 15/12/2015 Accepted: 27/12/2015 Published: 30/12/2015
Abstract
This study assessed the effect of ethanolic, hot water and cold water extracts of processed ready-to-eat snacks containing
protenous substances against Escherichia coli and Staphylococcus aureus. The snacks (shawama, Scotch egg and meat pie)
were purchased from fast food hawkers in Yenagoa metropolis, Bayelsa state, Nigeria. Disk-diffusion method was used for the
sensitivity testing of the various extracts and 1% Ampiclox was used for the comparison of the antibacterial effects. Results
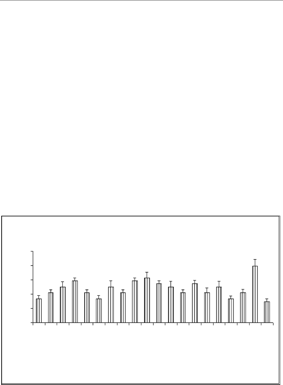
showed that ethanolic extracts have superior effect compared to cold and hot water. For hot water treatment, the E. coli zone
of inhibition for scotch egg, shawama and meat pie were 8.38, 12.57 and 10.48mm respectively. For cold water extracts, these
were 10.48, 13.62 and 8.38mm respectively. For the ethanolic extracts, the zone of inhibition for the snacks was 12.57mm
(Scotch egg), 14.67mm (shawama) and 13.62mm (meat pie). For S. aureus, the corresponding zones of inhibition for the
snacks i.e scotch egg, shawama and meat pie were 10.48, 14.67 and 8.38mm respectively (for hot water extract), 10.48, 15.71
and 12.57mm respectively (for ethanolic extract) and 10.48, 12.57 and 10.48mm respectively (for cold water extract). Ethanolic
extract had higher zones of inhibition on both isolates. Also the E. coli had superior zone of inhibition compared to 1%
Ampiclox than S. aureus. Analysis of variance showed that there was significant difference (P<0.05) among the test organisms
used in this study based on the treatments. This study showed that residual antibiotics used for protenous sources (e.g egg, meat
etc) were transferred to their final products widely consumed by several people as fast foods, which are becoming more popular
with students and the working class who spent long hours from home.
Keywords: Food, Protein, Snacks, Escherichia coli, Staphylococcus aureus
1 Introduction
Food is a composite matrix that contains nutrients to
enhance growth [1]. Food substances include
carbohydrate, protein, lipids and water etc. Ready-to-eat
foods or snacks are foods that do not require further
processing prior to consumption. Most of these ready to
eat foods are vended along highways, streets, markets and
some public places including schools, hospitals, Motor
Parks, etc. Some common ready to eat products include
tomato, cabbage, ginger drink, lettuce, carrot, kunu zaki
drink, akara, fried groundnut, rice and beans, fired fish,
bread, zobo drink [2], and snacks such as scotch egg,
shawama, meat pie etc. In developing nation like Nigeria,
the consumption of snacks is high. This could be due to
high rate of unemployment and failed family and
community values [3]. Like fruits most ready-to-eat food
are rich in nutrients, micronutrients, vitamins and fibre.
Like most ready to eat food products, Scotch egg,
shawama, meat pie are sold in public places including
markets, fast food, stores, restaurants etc. During their
production, several natural and protenous ingredients are
used. For instance, poultry egg is used for the production
of Scotch egg. The poultry industry in which poultry-meat
is considered healthier than red meat is a vital source of
animal proteins [4]. In the poultry industry antibiotics are
used for the rearing of the birds due to several microbial
diseases that infects birds. As such antibiotics and growth
promoters are commonly used by poultry farmers for the
control infections [4]. Also, during the processing of cotch
egg, shawama, meat pie, other natural products with
Corresponding author: Sylvester Chibueze Izah, Department of Biological Sciences, Faculty of Science, Niger Delta
University, Wilberforce Island, Bayelsa state, Nigeria, E-mail: chivestizah@gmail.com; Tel: +234 703 0192 466.
antimicrobial activities such as pepper are added at varying
concentrations.
E. coli is a typical example of the family
Enterobacteriaceae which are associated with
gastroenteritis. The Staphylococcus aureus on the other
hand represents the superficial agents of infection. The
study therefore meant to test antibacterial inhibition
caused by residual antibiotics in some common snacks and
comparing their inhibition with that of 1% broad spectrum
antibiotics (Ampiclox).
2 Materials and Methods
2.1 Source of samples
Triplicate samples of the snacks (Scotch egg, meat pie
and shawama) were bought from fast food hawker in
Yenagoa metroplolis, Bayelsa State, Nigeria and
transported to the laboratory. Analysis was carried out <4
hours after purchase.
2.2 Preparation of Sample Extracts
In the laboratory, the various samples (Scotch egg, meat
pie and shawama) were separately macerated in a sterile
mortar and pestle. Then 10g each of the macerated samples
were soaked in 100ml of solvents (ethanol, hot water and
cold water) separately, which was vigorously shaked
intermittently for 24 hours. Thereafter, the samples was
filtered with muslin cloth followed by Whiteman No. 1
Journal weblink: http://www.jett.dormaj.com
J. Environ. Treat. Tech.
ISSN: 2309-1185